Гдз по алгебре 11 класс Никольский, Потапов Решебник
Авторы: Никольский С. М., Потапов М. К., Решетников Н. Н..
Эффективная учеба с ГДЗ
Успешная оценка по итогам окончания школы – последствие регулярных занятий, плоды трудолюбия ученика. Но в 11 классе такая большая нагрузка, что не всегда можно осилить все требования рабочей программы. Выручит сайт с решебником по алгебре за 11 класс (авторы: Никольский С. М., Потапов М. К., Решетников Н. Н.) по всем предметам, который доступен онлайн с любого устройства.
ГДЗ по алгебре за 11 класс Никольский — в помощь одиннадцатикласснику
На электронном портале можно найти любые подсказки к упражнениям по номеру страницы. Проект является масштабным и удобным собранием источников с ключами ко всем учебникам, одобренным ФГОС.
Как можно с пользой применять сведения с портала? Эта информация бывает полезна в разных случаях:
- для сдачи домашних заданий;
- при подготовке к контрольной работе, проверочной или тесту;
для дополнительной тренировки к ЕГЭ;- при поступлении в вуз, когда нужны усиленные вложения в свои знания;
- при выявлении пробелов в знаниях и непонятной теме.

Особенно удобно пройти заново сложный параграф в учебнике, просматривая видеоролики с решением заданий. Диктор максимально подробно разъясняет шаг за шагом, как делать каждое упражнение из учебника Никольского и Потапова. После такого внимательного изучения темы не останется ни одного «белого пятна» в рабочей программе по курсу математики.
Экономьте время и сдавайте все на «отлично»
На самом деле многие педагоги сами обращаются на сайт со шпаргалками – им важно знать, какими ресурсами пользуются ребята. А еще преподаватели берут здесь готовые тексты и уравнения для организации олимпиад, тестирования или других дополнительных испытаний. Проверять эти материалы не нужно при наличии ответов. Поэтому находчивые подростки могут быстро найти нужные варианты и легко расправиться с заданиями.
Чтобы хорошо учиться, важно отдыхать и отвлекаться, это помогает оставаться энергичными и вдохновленными на учебу. Алгебра развивает логику и внимательность, а если под рукой есть сборник по алгебре для 11 класса от Никольского – успех всегда гарантирован.
Современные технологии и Интернет служат на пользу учащимся всех классов.
ГДЗ решебник по алгебре 11 класс Алимов
Представлен решебник по предмету алгебра, автора Алимова Ш.А. для 11 класса. Он позволит ученику не беспокоиться о неправильно решенной задаче и не тратить время в поисках решения. Заглянув в ответ, учащийся сумеет не только правильно выполнить домашнее задание и получить хорошую оценку, но и понять логику решения, чтобы в будущем справляться с подобными задачами самостоятельно. Пособие помогает не только выпускнику в выполнении упражнений, заданных на дом, но и педагогу в подготовке очередного урока.
776 777 778 779 780 781 782 783 784 785 786 787 788 789 790 791 792 793 794 795 796 797 798 799 800 801 802 803 804 805 806 807 808 809 810 811 812 813 814 815 816 817 818 819 820 821 822 823 824 825 826 827 828 829 830 831 832 833 834 835 836 837 838 839 840 841 842 843 844 845 846 847 848 849 850 851 852 853 854 855 856 857 858 859 860 861 862 863 864 865 866 867 868 869 870 871 872 873 874 875 876 877 878 879 880 881 882 883 884 885 886 887 888 889 890 891 892 893 894 895 896 897 898 899 900 901 902 903 904 905 906 907 908 909 910 911 912 913 914 915 916 917 918 919 920 921 922 923 924 925 926 927 928 929 930 931 932 933 934 935 936 937 938 939 940 941 942 943 944 945 946 947 948 949 950 951 952 953 954 955 956 957 958 959 960 961 962 963 964 965 966 967 968 969 970 971 972 973 974 975 976 977 978 979 980 981 982 983 984 985 986 987 988 989 990 991 992 993 994 995 996 997 998 999 1000 1001 1002 1003 1004 1005 1006 1007 1008 1009 1010 1011 1012 1013 1014 1015 1016 1017 1018 1019 1020 1021 1022 1023 1024 1025 1026 1027 1028 1029 1030 1031 1032 1033 1034 1035 1036 1037 1038 1039 1040 1041 1042 1043 1044 1045 1046 1047 1048 1049 1050 1051 1052 1053 1054 1055 1056 1057 1058 1059 1060 1061 1062 1063 1064 1065 1066 1067 1068 1069 1070 1071 1072 1073 1074 1075 1076 1077 1078 1079 1080 1081 1082 1083 1084 1085 1086 1087 1088 1089 1090 1091 1092 1093 1094 1095 1096 1097 1098 1099 1100 1101 1102 1103 1104 1105 1106 1107 1108 1109 1110 1111 1112 1113 1114 1115 1116 1117 1118 1119 1120 1121 1122 1123 1124 1125 1126 1127 1128 1129 1130 1131 1132 1133 1134 1135 1136 1137 1138 1139 1140 1141 1142 1143 1144 1145 1146 1147 1148 1149 1150 1151 1152 1153 1154 1155 1156 1157 1158 1159 1160 1161 1162 1163 1164 1165 1166 1167 1168 1169 1170 1171 1172 1173 1174 1175 1176 1177 1178 1179 1180 1181 1182 1183 1184 1185 1186 1187 1188 1189 1190 1191 1192 1193 1194 1195 1196 1197 1198 1199 1200 1201 1202 1203 1204 1205 1206 1207 1208 1209 1210 1211 1212 1213 1214 1215 1216 1217 1218 1219 1220 1221 1222 1223 1224 1225 1226 1227 1228 1229 1230 1231 1232 1233 1234 1235 1236 1237 1238 1239 1240 1241 1242 1243 1244 1245 1246 1247 1248 1249 1250 1251 1252 1253 1254 1255 1256 1257 1258 1259 1260 1261 1262 1263 1264 1265 1266 1267 1268 1269 1270 1271 1272 1273 1274 1275 1276 1277 1278 1279 1280 1281 1282 1283 1284 1285 1286 1287 1288 1289 1290 1291 1292 1293 1294 1295 1296 1297 1298 1299 1300 1301 1302 1303 1304 1305 1306 1307 1308 1309 1310 1311 1312 1313 1314 1315 1316 1317 1318 1319 1320 1321 1322 1323 1324 1325 1326 1327 1328 1329 1330 1331 1332 1333 1334 1335 1336 1337 1338 1339 1340 1341 1342 1343 1344 1345 1346 1347 1348 1349 1350 1351 1352 1353 1354 1355 1356 1357 1358 1359 1360 1361 1362 1363 1364 1365 1366 1367 1368 1369 1370 1371 1372 1373 1374 1375 1376 1377 1378 1379 1380 1381 1382 1383 1384 1385 1386 1387 1388 1389 1390 1391 1392 1393 1394 1395 1396 1397 1398 1399 1400 1401 1402 1403 1404 1405 1406 1407 1408 1409 1410 1411 1412 1413 1414 1415 1416 1417 1418 1419 1420 1421 1422 1423 1424 1425 1426 1427 1428 1429 1430 1431 1432 1433 1434 1435 1436 1437 1438 1439 1440 1441 1442 1443 1444 1445 1446 1447 1448 1449 1450 1451
▶▷▶▷ гдз по алгебре и начала анализа 11 класс ивлев
▶▷▶▷ гдз по алгебре и начала анализа 11 класс ивлев| Интерфейс | Русский/Английский |
| Тип лицензия | Free |
| Кол-во просмотров | 257 |
| Кол-во загрузок | 132 раз |
| Обновление: | 08-03-2019 |
гдз по алгебре и начала анализа 11 класс ивлев — Yahoo Search Results Yahoo Web Search Sign in Mail Go to Mail» data-nosubject=»[No Subject]» data-timestamp=’short’ Help Account Info Yahoo Home Settings Home News Mail Finance Tumblr Weather Sports Messenger Settings Want more to discover? Make Yahoo Your Home Page See breaking news more every time you open your browser Add it now No Thanks Yahoo Search query Web Images Video News Local Answers Shopping Recipes Sports Finance Dictionary More Anytime Past day Past week Past month Anytime Get beautiful photos on every new browser window Download Алгебра и начала анализа, 10-11 класс, Колмогоров АН domashkasu/gdz/klass 11 /algebra/book8 Cached Алгебра и начала анализа , 10- 11 класс Алгебра и начала анализа , 10- 11 класс Алгебра за 11 класс — ГДЗ Предмет ГДЗ решебник алгебре 11 класс Ивлева Саакян Шварцбург botanamnet … 11 класс Алгебра Подробный решебник ГДЗ к учебнику по алгебре 11 класс Ивлева БМ, Саакян СМ, Шварцбург С И 2007, онлайн ответы на домашнюю работу Гдз По Алгебре И Начала Анализа 11 Класс Ивлев — Image Results More Гдз По Алгебре И Начала Анализа 11 Класс Ивлев images ГДЗ Дидактические материалы по алгебре и началам анализа для 1gdzwork/class- 11 /gdz-didakticheskie-materialy-po Cached Решебник Алгебра и начала анализа 10- 11 класс Алимов ША Решебник Геометрия 10- 11 Атанасян ЛС 2002 Решебник Сборник заданий для экзамена по математике 11 класс Решение экзаменационных задач ГДЗ — Алгебра и начала анализа 10 класс Ивлев БМ, Саакян С reshebnik5- 11 ru … алгебра Дидактические материалы по алгебре и начала анализа для 10 класса ГДЗ — Алгебра и начала анализа 10 класс Ивлев БМ, Саакян СМ, Шварцбурд С И Решебник (ГДЗ) Дидактические материалы по алгебре и началам docbazaru/resh/001/ 11 /13 Cached Решебник по учебнику: Решение самостоятельных и контрольных работ по алгебре и началам анализа за 11 класс к учебному пособию «БМ Ивлев , СМ Саакян, С И Шварцбурд Гдз по алгебре 10-11 класс Колмогоров gdzotputinaclub/ 11 -klass/algebra/kolmogorov Cached ГДЗ к дидактическим материалам по алгебре для 10 класса Ивлев можно скачать здесь ГДЗ к учебнику по алгебре 10- 11 класс Алимов можно скачать здесь Гдз по алгебре 10-11 класс — gdzputinaru gdzputinaru Алгебра ГДЗ к дидактическим материалам по алгебре для 10 класса Ивлев можно скачать здесь ГДЗ к учебнику по алгебре 10- 11 класс Алимов можно скачать здесь ГДЗ по алгебре 11 класс — Решение самостоятельных и nasholcom/tag/gdz-po-algebre- 11 -klass/Page-5html Cached Решение самостоятельных и контрольных работ по алгебре и началам анализа — 11 класс — К учебному пособию Дидактические материалы по алгебре и началам анализа для 11 класса — Ивлев БМ, Саакян СМ, Шварцбурд С И ГДЗ по алгебре Дидактические материалы 10 класс Ивлев БМ reshebame/gdz/algebra/10-klass/didakticheskie Cached В старшей школе ученикам придется познакомиться с новым разделом математики и для этого авторы Ивлев БМ, Саакян СМ, Шварцбург С И разработали дидактические материалы Алгебра и начала математического анализа 10 ГДЗ по Алгебре 10 класс: Алгебра и начала анализа 10-11 класс megabotanorg Алгебра ГДЗ : Готовые домашние задания по Алгебре 10 класс , решебник Алгебра и начала анализа 10- 11 класс Колмогоров АН ГДЗ к дидактическим материалам по алгебре для 10 класса Ивлев можно скачать здесь Promotional Results For You Free Download | Mozilla Firefox ® Web Browser wwwmozillaorg Download Firefox — the faster, smarter, easier way to browse the web and all of Yahoo 1 2 3 4 5 Next 4,310 results Settings Help Suggestions Privacy (Updated) Terms (Updated) Advertise About ads About this page Powered by Bing™
- что страницы нет по нашей вине
- что страницы нет по нашей вине
- что страницы нет по нашей вине
что страницы нет по нашей вине
что страницы нет по нашей вине
- СМ Саакян
- smarter
- решебник Алгебра и начала анализа 10- 11 класс Колмогоров АН ГДЗ к дидактическим материалам по алгебре для 10 класса Ивлев можно скачать здесь Promotional Results For You Free Download | Mozilla Firefox ® Web Browser wwwmozillaorg Download Firefox — the faster
404 Найти Ошибка 404 Нет такой страницы Если вы считаете, что страницы нет по нашей вине, напишите нам Маркет — смартфоны Huawei Автору — читайте и смотрите Недвижимость — покупка с маткапиталом Такси — недорогие поездки Работа — разнорабочий Трекер — координируйте команду Авиабилеты — перелёты по России Компания About © Яндекс «static»:»22036″
Решебник к дидактическим материалам по алгебре для 11 класса Шабунина М.
И. ОНЛАЙНРешения самостоятельных и контрольных работ по алгебре и началам математического анализа из дидактических материалов для 11 класса Шабунина М.И. — Рукопись. — 2015.
Настоящее пособие содержит решения самостоятельных и контрольных работ из сборника «Алгебра и начала математического анализа. Дидактические материалы. 11 класс : базовый уровень / [М. И. Шабунин, Р. Г. Газарян, М. В. Ткачёва, Н. Е. Фёдорова]. — М.: Просвещение, 2013.— 191 с.»
Пособие адресовано родителям, которые смогут проконтролировать детей, а в случае необходимости помочь им в выполнении домашней работы по алгебре.
Внимание! Рукопись не проверялась, возможны ошибки
Содержание
Глава VII. Тригонометрические функции
§ 38. Область определения и множество значений тригонометрических функций
§ 39. Чётность, нечётность, периодичность тригонометрических функций
§ 40. Свойства функции у = cos х и её график
§ 41.
Свойства функции у = sin х и её график
§ 42. Свойства функции у = tg х и её график
Контрольная работа № 1
Глава VIII. Производная и её геометрический смысл
§ 44. Производная
§ 45. Производная степенной функции
§ 46. Правила дифференцирования
§ 47. Производные некоторых элементарных функций
§ 48. Геометрический смысл производной
Контрольная работа № 2
Глава IX. Применение производной к исследованию функций
§ 49. Возрастание и убывание функции
§ 50. Экстремумы функции
§ 51. Применение производной к построению графиков функций
§ 52. Наибольшее и наименьшее значения функции
Контрольная работа № 3
Глава X. Интеграл
§ 54. Первообразная
§ 55. Правила нахождения первообразных
§ 56. Площадь криволинейной трапеции и интеграл
§ 58.
Вычисление площадей с помощью интегралов
Контрольная работа № 4
Глава XI. Комбинаторика
§ 60. Правило произведения
§ 61. Перестановки
§ 62. Размещения
§ 63. Сочетания и их свойства
§ 64. Бином Ньютона
Контрольная работа № 5
Глава XII. Элементы теории вероятностей
§ 65. События
§ 66. Комбинации событий. Противоположное событие
§ 67. Вероятность события
§ 68. Сложение вероятностей
§ 69. Независимые события. Умножение вероятностей
§ 70. Статистическая вероятность
Контрольная работа № 6
Глава XIII. Статистика
§ 71. Случайные величины
§ 72. Центральные тенденции
§ 73. Меры разброса
Контрольная работа № 7
Решебники. Ответы. с 1 по 11 класс.
- Решебники
Классы
Все классы- 2
- 3
- 4
- 5
- 6
- 7
- 8
- 9
- 10
- 11
Предметы
Все предметы- Математика
- Русский язык
- Английский язык
- Алгебра
- Геометрия
- Физика
- Химия
- Решебники
Классы
Все классы- 2
- 3
- 4
- 5
- 6
- 7
- 8
- 9
- 10
- 11
Предметы
Все предметы- Математика
- Русский язык
- Английский язык
- Алгебра
- Геометрия
- Физика
- Химия
- Ответкин
- Решебники
- Математика
- Русский язык
- Английский язык
- Алгебра
- Геометрия
- Физика
- Химия
Математика
- ГДЗ по Математике 2 класс: Моро М.
И. - ГДЗ по Математике 2 класс: Петерсон Л.Г.
- ГДЗ по Математике 2 класс: Дорофеев Г.В.
- ГДЗ по Математике 3 класс: Моро М.И.
- ГДЗ по Математике 3 класс: Петерсон Л.Г.
- ГДЗ по Математике 3 класс: Дорофеев Г.В.
- ГДЗ по Математике 4 класс: Моро М.И.
- ГДЗ по Математике 4 класс: Петерсон Л.Г.
- ГДЗ по Математике 4 класс: Дорофеев Г.В.
- ГДЗ по Математике 5 класс: Виленкин Н.Я.
- ГДЗ по Математике 5 класс: Мерзляк А.Г.
- ГДЗ по Математике 5 класс: Никольский С.М.
- ГДЗ по Математике 5 класс: Дорофеев Г.В.
- ГДЗ по Математике 5 класс: Зубарева, Мордкович
- ГДЗ по Математике 6 класс: Виленкин Н.Я.
- ГДЗ по Математике 6 класс: Мерзляк А.Г.
- ГДЗ по Математике 6 класс: Никольский С.М.
- ГДЗ по Математике 6 класс: Зубарева, Мордкович
- ГДЗ по Математике 6 класс: Дорофеев Г.В.
Русский язык
- ГДЗ по Русскому языку 5 класс: Ладыженская Т.А.
- ГДЗ по Русскому языку 5 класс: Разумовская М.
М. - ГДЗ по Русскому языку 6 класс: Ладыженская Т.А.
- ГДЗ по Русскому языку 6 класс: Разумовская М.М.
- ГДЗ по Русскому языку 7 класс: Ладыженская Т.А.
- ГДЗ по Русскому языку 7 класс: Разумовская М.М.
- ГДЗ по Русскому языку 8 класс: Ладыженская Т.А.
- ГДЗ по Русскому языку 9 класс: Ладыженская Т.А.
- ГДЗ по Русскому языку 9 класс: Бархударов С.Г.
Английский язык
- ГДЗ по Английскому языку: Голицынский Ю.Б.
- ГДЗ по Английскому языку 7 класс: Биболетова М.З. (Учебник)
Алгебра
- ГДЗ по Алгебре 7 класс: Макарычев Ю.Н.
- ГДЗ по Алгебре 7 класс: Мордкович А.Г.
- ГДЗ по Алгебре 7 класс: Мерзляк А.Г.
- ГДЗ по Алгебре 8 класс: Макарычев Ю.Н.
- ГДЗ по Алгебре 8 класс: Мордкович А.Г.
- ГДЗ по Алгебре 8 класс: Мерзляк А.Г.
- ГДЗ по Алгебре 9 класс: Макарычев Ю.Н.
- ГДЗ по Алгебре 9 класс: Мордкович А.Г.
Геометрия
- ГДЗ по Геометрии 7-9 класс: Атанасян Л.
С. - ГДЗ по Геометрии 7-9 класс: Погорелов А.В.
- ГДЗ по Геометрии 10-11 класс: Атанасян Л.С.
- ГДЗ по Геометрии 10-11 класс: Погорелов А.В.
Физика
- ГДЗ по Физике 7 класс: Пёрышкин А.В.
- ГДЗ по Физике 7-9 класс: Пёрышкин А.В. (сборник задач)
- ГДЗ по Физике 8 класс: Пёрышкин А.В.
- ГДЗ по Физике 9 класс: Пёрышкин А.В.
Химия
- ГДЗ по Химии 8 класс: Габриелян О.С.
- ГДЗ по Химии 9 класс: Габриелян О.С.
- ГДЗ по Химии 10 класс: Габриелян О.С. (базовый уровень)
[email protected]
© OTVETKIN.INFOКлассы- 2 класс
- 3 класс
- 4 класс
- 5 класс
- 6 класс
- 7 класс
- 8 класс
- 9 класс
- 10 класс
- 11 класс
- Математика
- Русский язык
- Английский язык
- Алгебра
- Геометрия
- Физика
- Химия
- Пользовательское соглашение
- Политика конфиденциальности
- Copyright notice
Вход в ЛК
Решебник алгебра 11 клас с
Скачать решебник алгебра 11 клас с PDF
Готовая домашняя работа к предмету Алгебра онлайн бесплатно, правильные ответы, решебники и гдз за 11 класс, спиши онлайн с наших готовых домашних заданий и получи хорошую оценку на уроке.
ГДЗ Готовые домашние задания за 11 класс по Алгебре. Алгебра ЕМН Абылкасымова 11 класс Авторы: Абылкасымова А.Е., Корчевский В.Е., Жумагулова З.А.
Издательство: Мектеп. Год: ©100letvam.ru , Нур-Султан, Казахстан. Для правообладателей [email protected]. Алгебра класс. Сборник задач. Мордкович. В одиннадцатом классе подводят итоги основ анализа по алгебре. Более обширные и углубленные знания, школьники могут при желании получить в высших и технических учебных заведениях.
Однако в преддверии ЕГЭ подросткам все же не стоит расслабляться и внимательнее отнестись к степенной, показательной и логарифмической функциям. Готові домашні завдання онлайн для 11 класу з математики.
ГДЗ для 11 класса по алгебре с несколькими вариантами решения номера. Не знаешь как решить задание? Тебе поможет 100letvam.ru
Решить домашнее задание по алгебре в 11 классе – это еще полбеды, а вот выполнить его правильно и на «отлично», некоторым представляется практически невозможным. Именно поэтому так популярны сейчас решебники и сборники, где размещены уже готовые домашние задания.
Все можно написать идеально, благодаря. Мегарешеба — Белорусские ГДЗ и Решебник по Алгебре поможет Вам найти ответ на самое сложное задание для 11 класса. Решай онлайн домашку вместе с нами! Тематические тесты по алгебре 11 класс Ткачева ответы. ГДЗ по алгебре 11 класс самостоятельные работы Александрова. ГДЗ по алгебре 11 класс Муравин.
fb2, djvu, EPUB, docПохожее:
Алгебра solver.
comНаших пользователей:
Я мать троих детей, и я приобрела программу «Алгебратор» для своего старшего сына, чтобы помочь ему с домашним заданием по алгебре, но мои младшие сыновья увидели, насколько легко им было пользоваться, и теперь у них есть преимущество. Спасибо за такой отличный, доступный по цене продукт.
R.B., Кентукки
Это было очень полезно.
D.E., Кентукки
Эта программа заложила основу для наиболее успешного пошагового решения по обучению алгебре, которое я когда-либо видел или имел удовольствие применять в классе.Как я упоминал во время нашего предыдущего телефонного разговора, при составлении графиков фактических результатов стандартизированного математического тестирования наших студентов с использованием данных за периоды как до, так и сразу после внедрения вашего программного обеспечения, сравнительная разница действительно очевидна.
Брайан Клэпман, Висконсин
Студенты, решающие всевозможные алгебры, узнают, что наше программное обеспечение спасает жизнь.
Вот поисковые фразы, которые использовали сегодняшние поисковики, чтобы найти наш сайт.Можете ли вы найти среди них свою? Поисковые фразы, использованные в 2011-07-21:
- Выпуски по алгебре колледжа
- Бесплатный калькулятор TI 83
- Калькулятор параболы
- загружаемые упражнения по математике для шестого класса
- измерение по математике тест на 9 год
- факторизация полиномов 3-го порядка
- запись уравнений линейных функций
- математический калькулятор скачать бесплатно
- бесплатных печатных листов по математике
- пошаговые задачи по алгебре колледжа
- карманный компьютер quadratics
- геометрия зала prentice florida
- Бесплатная алгебра 1 ответы Калькулятор производной
- онлайн
- таблица пропорций
- Математическое решение моих ответов
- Рабочие листы определения шестого класса и работы
- онлайн-калькулятор многочленов на разложение на множители
- бесплатных загрузок вопросов для тестирования способностей
- Диаграмма со свободным квадратным корнем
- год 10 тригонометрия онлайн бесплатная викторина
- Соль по математике 4-го класса, образец
- изучайте алгебру и тригонометрию в колледже онлайн бесплатно
- тригонометрический калькулятор java
- ti-84 дает ответы дробями
- бесплатная онлайн-справка по alberga math
- первый курс абстрактной алгебры fraleigh answer
- Решение задач системного уравнения
- Бесплатная пошаговая помощь по алгебре
- год 7 задач по математике и их решения
- вопросов о способностях с решениями
- репетитор по алгебре в колледже бесплатная пробная версия Калькулятор одновременных уравнений
- Упростить алгебру
- иррациональные множественные задания по математике для 10 класса
- «Алгебратор»
- Задание по математике за 9 класс
- онлайн-калькулятор для решения одновременных уравнений
- программы изучения алгебры
- сложная геометрическая последовательность
- Рабочие листы по английскому для 9-го класса
- калькулятор онлайн практическая работа
- EQUA gr.
6 образец рабочего листа - вопросов относительно решения уравнений с двумя переменными
- изучение алгебры NC EOC 2
- Teacher’s edition Intermediate Algebra by Lial, Hornsby, and McGinnis 9th ed, Addison-Wesley
- образец итоговой математики для 11 класса
- Зал Прентис Заметки по математике
- алгебра1 проект
- алгебра клонов
- Задачи о добавлении наименьшего общего знаменателя
- Проверка 4-го класса для онлайн-листов eog
- Экзамен по прошедшим экзаменам по английскому языку для детей 12 лет
- вопросник и ответы для 12 класса учебник по математике
- простая перестановка и комбинация
- McDougal littell inc.алгебра 2
- ti 84 — значение linreg r и значение r2
- Формула возведения в квадрат
- Подготовительный тест по математике eog третий класс
- бесплатные математические онлайн-решения
- бесплатных трюков по математике 4 банковских экзамена
- загрузить вопрос о приложении
- вопросов по алгебре
- кубические формулы
- формула квадратного корня для детей
- вопросы по алгебре gcse
- ФРАКЦИИ ДО ДЕСИМЕЛОВ
- Алгебра для 6-8 классов рабочих листов
- онлайн-таблица дробей и процентов по математике 7 класс
- математика для чайников
- простое решение для алгебры II бесплатно Калькулятор функций
- для alebra для решения expressios
- добавление радикальных выражений
- Распечатка домашнего задания по геометрии для 4 класса
- Простая алгебра для начинающих
- степень полинома 10 степеней
- корня многочленов 3-го порядка
- Решение линейных систем с помощью калькулятора метода подстановки
- бесплатных экзаменационных работ
- изучение алгебры онлайн
- Утверждения по алгебре II
- «Учебники по Excel» «9 год»
- контрольная работа по математике для 6 класса
- ti 84 код квадратной формулы
- скачать математическую версию y6
- ti — 83 плюс найти собственные значения
- РАБОЧИЕ ЛИСТЫ ДЛЯ ПРЕДВАРИТЕЛЬНОЙ АЛГЕБРЫ ДЛЯ 8 КЛАССА
- Применение тем предалгебры в реальной жизни
- Калькулятор преобразования десятичной дроби в дробь
- онлайн-уроков математики 8 год
- Уравнение упростить онлайн
- решение векторной полиномиальной интерполяции 5-го порядка
- КАЛЬКУЛЯТОР ДОБАВЛЕНИЯ СТАНДАРТНЫХ ДЕСЯТИЧНЫХ ОБОЗНАЧЕНИЙ
- электронная книга по бухгалтерской терминологии бесплатно скачать
- Рабочие листы по периметру и площади 6-го класса
Проблемы со словами | Уравнения и неравенства
г.
Следовательно, ширина равна \ (\ text {2} \) \ (\ text {m} \), а длина вдвое больше, \ (\ text {4} \) \ (\ text {m} \). Обратите внимание, что ширина не может быть отрицательным числом, поэтому мы не рассматриваем это решение.
Кевин сыграл несколько партий в боулинг с десятью кеглями. В третьей игре Кевин забил на \ (\ text {80} \) больше, чем во второй. В первой игре Кевин набрал \ (\ text {110} \) меньше, чем в третьей.Его общий счет в первых двух играх был \ (\ text {208} \). Если он хочет набрать в среднем \ (\ text {146} \), что он должен набрать в четвертой игре?
Допустим, что счет в первой игре будет \ (a \), счет во второй игре будет \ (b \), счет в третьей игре будет \ (c \), а счет в четвертой игре будет \ (г \).
Теперь отметим следующее:
\ begin {align *} c & = 80 + b \\ а & = с — 110 \\ а + б & = 208 \\ \ frac {a + b + c + d} {4} & = 146 \ end {выровнять *}Мы делаем \ (c \) предметом первых двух уравнений:
\ begin {align *} c & = 80 + b \\ c & = a + 110 \ end {выровнять *}Затем мы используем \ (a = 208 — b \), чтобы найти \ (b \):
\ begin {align *} 80 + b & = 208 — b + 110 \\ 2b & = 208 + 110 — 80 \\ 2b & = 238 \\ b & = 119 \ end {выровнять *}Теперь мы можем найти \ (a \):
\ begin {align *} а + б & = 208 \\ а + 119 & = 208 \\ а & = 89 \ end {выровнять *}И мы можем найти \ (c \):
\ begin {align *} c & = 80 + b \\ с & = 80 + 208 \\ c & = 288 \ end {выровнять *}Наконец, мы можем найти \ (d \):
\ begin {align *} \ frac {a + b + c + d} {4} & = 164 \\ 496 + d & = 656 \\ d & = 187 \ end {выровнять *} Кевин должен набрать \ (\ text {187} \) в четвертой игре.
{2} — 4 (1) (100)}} {2 (1)} \\
& = \ dfrac {1 \ pm \ sqrt {1 + 400}} {2} \\
& = \ dfrac {1 \ pm \ sqrt {401}} {2}
\ end {выровнять *}
Поскольку время не может быть отрицательным, единственное решение — \ (t = \ dfrac {1 + \ sqrt {401}} {2} \ приблизительно \ text {10,5} \ text {s} \).
В таблице ниже указано время, которое Шейла тратит на пройденное расстояние.
время (минуты) | \ (\ text {5} \) | \ (\ text {10} \) | \ (\ text {15} \) | \ (\ text {20} \) | \ (\ text {25} \) | \ (\ text {30} \) |
расстояние (км) | \ (\ text {1} \) | \ (\ text {2} \) | \ (\ text {3} \) | \ (\ text {4} \) | \ (\ text {5} \) | \ (\ text {6} \) |
Нанесите точки.
Найдите уравнение, описывающее связь между временем и расстоянием. Затем используйте уравнение, чтобы ответить на следующие вопросы:
Сколько времени займет у Шейлы прогулка \ (\ text {21} \) \ (\ text {km} \)?
Как далеко пройдет Шейла за \ (\ text {7} \) минут?
Если бы Шейла шла вдвое медленнее, чем сейчас, как бы выглядел график ее расстояния и времени?
Уравнение \ (t = 5d \).
Шейла займет \ (t = 5 (21) = 105 \) минут пешком \ (\ text {21} \) \ (\ text {km} \).
Шейла пройдет \ (d = \ frac {7} {5} = \ text {1,4} \) километров за \ (\ text {7} \) минут.
Градиент графика будет в два раза больше градиента первого графика. График будет круче и будет лежать ближе к оси \ (y \).
Мощность \ (P \) (в ваттах), подаваемая в цепь от батареи с напряжением \ (\ text {12} \) вольт, определяется по формуле \ (P = 12I — \ text {0,5} I ^ 2 \) где \ (I \) — ток в амперах.
{2} $} \).2} {x}
\ end {выровнять *}
Microsoft Math Solver — приложение HW в App Store
Изучайте математику с БЕСПЛАТНЫМИ пошаговыми инструкциями. Получите помощь в домашнем задании от простой арифметики до продвинутой алгебры и исчисления. Отсканируйте математическое фото, используйте рукописный ввод или калькулятор. Microsoft Math мгновенно распознает проблему и помогает решить ее с помощью подробных пошаговых объяснений, интерактивных графиков, аналогичных задач из Интернета и онлайн-видеолекций. Быстрый поиск связанных математических понятий.Получите уверенность в овладении техникой с помощью Microsoft Mathematics. Это абсолютно БЕСПЛАТНО и БЕЗ рекламы!
ОСНОВНЫЕ ХАРАКТЕРИСТИКИ
● Запишите математическое уравнение на экране, как обычно на бумаге.
● Отсканируйте распечатанную или рукописную математическую фотографию
● Введите и отредактируйте с помощью расширенного научного математического калькулятора
● Получите интерактивное пошаговое объяснение и графический калькулятор
● Импорт изображений с математическими уравнениями из галереи
● Сканирование и решение математических листов с множеством задач
● Поиск в Интернете похожих задач и видеолекций
● Попробуйте математические задачи со словами
● Сканирование и построение таблиц данных xy для линейных / нелинейных функций
● Учите математику на своем языке — поддерживает китайский, французский, немецкий, хинди, итальянский, японский, португальский, русский, испанский и многие другие.
ПОДДЕРЖИВАЕМЫЕ ПРОБЛЕМЫ
● Элементарно: арифметика, действительные, комплексные числа, НОК, НОД, множители , римские цифры
● Преалгебра: радикалы и показатели, дроби, матрицы, определители
● Алгебра: квадратные уравнения, система уравнений, неравенства, рациональные выражения, линия ар, квадратичные и экспоненциальные графики
● Словесные задачи по математическим понятиям, теории чисел, вероятности, объему, площади поверхности
● Основное исчисление: суммирование, пределы, производные, интегралы
● Статистика: среднее, медиана, мода, стандартное отклонение, перестановки, комбинации
Microsoft Math Solver сочетает в себе возможности нескольких решателей, таких как средство решения математических задач, средство решения уравнений, сканер математических ответов, процентный калькулятор, научный калькулятор, средство решения словесных задач, средство решения математических фотографий и средство решения рукописного текста.Это мощное приложение для изучения математики для решения домашних заданий по математике.
Узнайте больше о приложении Microsoft Math Solver на нашем веб-сайте: https://math.microsoft.com
Свяжитесь с нами по адресу [email protected] или напишите нам в Твиттере по адресу @microsoftmath. Мы с нетерпением ждем ваших отзывов.
Калькулятор буквальных уравнений
Наших пользователей:
Полные объяснения, практический подход, низкая цена и хорошие задания делают его моим лучшим профессиональным репетитором.
Blaine Milham, MH
Хорошо, вот что мне нравится: гораздо более удобный интерфейс, охват функций, триггеры. лучше графики, мастера. Тем не менее, по-прежнему нет проблем со словами, pre-calc, calc. (Пожалуйста, скажите мне, что вы работаете над этим — кто будет делать мою домашнюю работу, когда я закончу колледж алгебры?!?
Bim Oyadare, FL
То, как работает этот инструмент, и его пошаговый подход к сложным уравнениям делает обучение приятным.Отличная работа!
Маргарет Томас, Нью-Йорк
Студенты, решающие всевозможные алгебры, узнают, что наше программное обеспечение спасает жизнь.
Вот поисковые фразы, которые использовали сегодняшние поисковики, чтобы найти наш сайт. Можете ли вы найти среди них свою? Поисковые фразы, использованные на 17.01.2010:
- год 11 математических трехчленов бесплатные рабочие листы
- Общие вопросы о способностях английского языка
- математические суммы для практики
- elementary mathworksheets: упрощение алгебраических выражений, включая похожие термины
- бесплатные задачи симметрии для 3-го 4-го класса
- бесплатных рабочих листа на координатной плоскости
- решать умножение и деление рациональных выражений
- Рабочие листы с задачами по алгебре с переменным сюжетом для 5-го класса
- пример математических мелочей
- решение системы двух уравнений excel
- решение задач с математическим коэффициентом масштабирования
- СПЕКТРОСКОПИЧЕСКАЯ нотация записывает полную электронную конфигурацию для иона меди (I)
- matlab нелинейные дифференциальные уравнения
- Калькулятор линейных уравнений с двумя переменными
- графический калькулятор эллипс
- квадратное уравнение с дробными показателями
- бесплатный онлайн калькулятор ti 83
- лист заказа на проценты
- онлайн-тест по алгебре
- Решение линейных уравнений с помощью калькулятора абсолютных значений
- Калькулятор упрощающих радикальных выражений
- онлайн-листы системы линейных уравнений
- Алгебра 2 ПО
- Простое следственное задание 6 разряда
- Инвестиционная компания по математике
- как скачать на TI-84 plus
- Число строк от наименьшей до наибольшей
- что такое 2/3 как десятичное
- Задачи на дробное слово третьего класса Решатель стандартных обозначений
- Заданий по алгебре для 5 класса
- одновременное уравнение + TI 92
- PowerPoint презентации трансформации Lapace и ее математические задачи
- решает многочлены: упростить, используя положительные показатели
- Алгебратор + проблема со словами
- как разделить
- Биттингер развивающая математика 6-е издание ключ ответа
- квадратный корень — это показатель степени
- как найти наклон с помощью ti 83
- математика исследовательская геометрия
- найти root excel
- стихотворения по тригонометрии
- степень умножения
- saxon math 3-й класс ответы
- как решить умножение целых чисел
- общий знаменатель трехчленное выражение
- mcdougal littell math course 3 ответы
- несовершенный квадратный корень
- линейные функции + КС-3 + рабочие листы
- Год для печати 10 учебных заданий
- Перестановки и комбинации glencoe calfornia
- решить ti 89
- бесплатных рабочих листа по целым числам
- Преобразование дробей в рабочие листы с более высоким значением
- Контрольная работа за 7 класс по математике
- неоднородные комплексные числа дифференцирования второго порядка
- разности двух квадратов целых чисел
- Уравнение дробного десятичного преобразования
- г.
11 по математике - как решить логарифмы
- программа для решения задач алгебры
- ged algebre базовые курсы
- решатель экспоненциальных выражений
- рабочие листы для построения графиков линейных равенств
- математические ответы для LCM
- программа для решения парных уравнений
- квадратный корень с показателем
- Бесплатная онлайн-таблица МАСШТАБНЫЙ ФАКТОР для 7-го класса
- Бесплатные задания по алгебре для 6-го класса
- Калькулятор для решения полиномиальных неравенств ti83
- упрощение сложных выражений
- Учебное пособие по предалгебре, учебный зал
- Калькулятор деления многочленов на двучлены Уравнение
- , включающее производные радикалов и первообразные с решением
- веселые рабочие листы по алгебре Онлайн-калькулятор для дифференциального уравнения
- Математика в средней школе с Pizzazz! Книга D
- Как рассчитать значение хи на калькуляторе T183
- переписывает дифференциальное уравнение второго порядка Рубрика
- , используемая для сложения целых чисел в алгебре
- Решение линейных уравнений с твердыми дробями
- Квадратичные задачи о словах дроби
- алгебра отрицательных квадратных корней
- асимптоты многочленов Ti калькулятор
- mcdougal littell algebra 2 бесплатные ответы
- однородная математическая
- решение системных уравнений бесплатная программа
- линейные равенства
- Перемножение радикальных уравнений
- вопрос о способностях
- рабочие листы кумон по математике для 1 класса
- Решите квадратное уравнение с автоматическим разложением на множители
- программа для решения квадратных уравнений
Алгебра 2
Также известен как «Колледж алгебры»
ОК.
Итак, что вы собираетесь здесь узнать?
Вы узнаете о числах, многочленах, неравенствах, последовательностях и суммах, многих типах функций и узнаете, как решать их.
Вы также получите более глубокое понимание математики, сможете попрактиковаться в использовании своих новых навыков с множеством примеров и вопросов и в целом улучшите свой ум.
Обладая новыми навыками, вы сможете составлять математические модели, чтобы находить качественные решения для многих сложных ситуаций реального мира.
Ближе к концу большинства страниц находится раздел «Ваша очередь» … сделайте это! Вам нужно сбалансировать свое чтение с на . Ответы на вопросы помогут вам разобраться в мыслях. И не угадайте ответ: используйте ручку и бумагу и постарайтесь изо всех сил, прежде чем увидеть решение.
Язык
Так что же такое математика? И как вы его изучите?
Наборы
Далее нам нужно подумать о математике в терминах наборов .
Номера
Теперь мы знаем, что такое набор, давайте посмотрим на различные наборы чисел, которые могут пригодиться:
Неравенства
«Equal To» — это хорошо, но не всегда доступно. Может быть, мы только знаем, что что-то меньше или больше. Итак, давайте узнаем о в равенствах.
a≥b
Экспоненты
Мы будем часто использовать экспоненты, так что давайте лучше их узнаем.
Полиномы
Полиномы были одними из первых вещей, которые когда-либо изучались в алгебре. Они просты, но обладают мощной способностью моделировать ситуации в реальном мире.
Графические полиномы
Уравнения
И, конечно же, нам нужно знать об уравнениях … и о том, как их решать.
Графики
Графики могут нас спасти! Это отличный способ увидеть, что происходит, и могут помочь нам решить многие проблемы.
Но нам нужно быть осторожными, поскольку иногда они не раскрывают всей истории.
Линейные уравнения
Это просто уравнения для линий. Но они бывают разных форм.
Функции
Функция связывает вход с выходом. Но на этом простом фундаменте можно построить много полезных вещей.
Уравнения второй степени
«Вторая степень» просто означает, что переменная имеет показатель степени 2, например x 2 .Это следующий важный шаг после линейных уравнений (где показатель степени равен 1, как и x).
Решение
У нас уже есть опыт решения, но теперь мы можем узнать больше!
Устранение неравенств
Мы узнали о неравенствах выше, теперь давайте узнаем, как их решать.
Показатели и логарифмы
Мы уже знаем об экспонентах … ну, логарифмы просто идут другим путем.И вместе они могут быть очень сильными.
Системы линейных уравнений
Что происходит, когда у нас есть два или более линейных уравнения, которые работают вместе? Часто их можно решить! Это не очень сложно, но может потребовать много вычислений.
Вероятность
Насколько вероятно? Ты будешь судьей!
Последовательности, серии и частичные суммы
Последовательность — это набор вещей (обычно чисел), которые находятся в порядке.Мы также можем подвести итоги серии, в которой сигма-нотация очень полезна.
Наконец
Эти последние несколько предметов используют то, что мы узнали выше.
И все!
Но есть много других интересных тем по алгебре, например:
Калькуляторы для алгебры II — eMathHelp
Этот онлайн-калькулятор найдет дробное разложение рациональной функции с указанными шагами.
Калькулятор попытается разложить на множители любое выражение (полиномиальное, биномиальное, трехчленное, квадратичное, рациональное, иррациональное, экспоненциальное, тригонометрическое или их сочетание) с указанными шагами. Для этого сначала применяются некоторые подстановки для преобразования выражения в полином, а затем используются следующие методы: разложение мономов на множители (общий множитель), квадратичное разложение на множители, группирование и перегруппировка, квадрат суммы / разности, куб суммы / разности. , разность квадратов, сумма / разность кубов и теорема о рациональных нулях.
Калькулятор найдет корни (точные и числовые, действительные и комплексные), т.
е. решит для $$$ x $$$, $$$ y $$$ или любую другую переменную любого уравнения (линейного, квадратичного, полиномиального, рациональное, иррациональное, экспоненциальное, логарифмическое, тригонометрическое, гиперболическое, абсолютное значение) на заданном интервале.
Этот решатель (калькулятор) попытается решить систему из 2, 3, 4, 5 уравнений любого типа, включая полиномиальные, рациональные, иррациональные, экспоненциальные, логарифмические, тригонометрические, гиперболические, абсолютные и т. Д.Он может найти как реальные, так и сложные решения. Чтобы решить систему линейных уравнений с шагом, используйте калькулятор системы линейных уравнений.
Этот калькулятор упрощает дроби, полиномиальные, рациональные, радикальные, экспоненциальные, логарифмические, тригонометрические и гиперболические выражения.
Калькулятор найдет значение, обратное данной функции, с указанными шагами.Если функция взаимно однозначная, будет уникальная обратная.
Этот калькулятор найдет либо уравнение параболы по заданным параметрам, либо ось симметрии, эксцентриситет, прямую ширину прямой кишки, длину прямой мышцы живота, фокус, вершину, директрису, параметр фокуса, точки пересечения по оси x, точки пересечения по оси Y вошел в параболу.
Чтобы изобразить параболу, посетите график параболы (выберите вариант «Неявный»).
Этот калькулятор найдет либо уравнение окружности по заданным параметрам, либо центр, радиус, диаметр, площадь, окружность (периметр), эксцентриситет, линейный эксцентриситет, точки пересечения по оси x, точки пересечения по оси Y, область и диапазон введенных значений.
круг.
Для построения графика круга воспользуйтесь калькулятором построения кругового графика (выберите вариант «Неявный»).
Этот калькулятор найдет либо уравнение эллипса (стандартная форма) по заданным параметрам, либо центр, вершины, совпадения вершин, фокусы, площадь, окружность (периметр), параметр фокуса, эксцентриситет, линейный эксцентриситет, широта прямой кишки, длина. прямой кишки, директрисы, длина (полу) большой оси, длина (полу) малой оси, пересечения по оси x, точки пересечения по оси y, домен и диапазон введенного эллипса.
Чтобы построить график эллипса, воспользуйтесь калькулятором построения эллипса (выберите вариант «Неявный»).
Этот калькулятор найдет либо уравнение гиперболы (стандартная форма) по заданным параметрам, либо центр, вершины, совпадения вершин, фокусы, асимптоты, фокусный параметр, эксцентриситет, линейный эксцентриситет, прямая кишка, длина прямой кишки, направляющие, длина (полу) большой оси, длина (полу) малой оси, пересечения по оси x и точки пересечения по оси y введенной гиперболы.
Чтобы построить график гиперболы, воспользуйтесь калькулятором построения графика гиперболы (выберите вариант «Неявный»).
Калькулятор найдет среднюю точку для двух точек с указанием шагов.
Для двух заданных точек калькулятор найдет расстояние между ними с указанием шагов.
Калькулятор найдет синус заданного значения в радианах или градусах.
Область синуса — $$$ x \ in \ mathbb {R} $$$, диапазон — $$$ [- 1,1] $$$.
Это странная функция.
Калькулятор найдет косинус заданного значения в радианах или градусах.
Область косинуса — $$$ x \ in \ mathbb {R} $$$, диапазон — $$$ [- 1,1] $$$.
Это четная функция.
Калькулятор найдет тангенс заданного значения в радианах или градусах.
Касательная $$$ y = \ tan (x) $$$ — это такая функция, что $$$ y = \ frac {\ sin (x)} {\ cos (x)} $$$.
Область касательной: $$$ x \ ne \ frac {\ pi} {2} + \ pi n, n \ in \ mathbb {Z} $$$, диапазон $$$ (- \ infty, \ infty) $$$.
Это странная функция.
Калькулятор найдет котангенс заданного значения в радианах или градусах.
Котангенс $$$ y = \ cot (x) $$$ — это такая функция, что $$$ y = \ frac {\ cos (x)} {\ sin (x)} $$$.
Область котангенса — $$$ x \ ne \ pi n, n \ in \ mathbb {Z} $$$, диапазон — $$$ (- \ infty, \ infty) $$$.
Это странная функция.
Калькулятор найдет секанс заданного значения в радианах или градусах.
Секанс $$$ y = \ sec (x) $$$ — это такая функция, что $$$ y = \ frac {1} {\ cos (x)} $$$.
Область секанса: $$$ x \ ne \ frac {\ pi} {2} + \ pi n, n \ in \ mathbb {Z} $$$, диапазон $$$ (- \ infty, -1] \ cup [1, \ infty) $$$.
Это четная функция.
Калькулятор найдет косеканс заданного значения в радианах или градусах.
Косеканс $$$ y = \ csc (x) $$$ — это такая функция, что $$$ y = \ frac {1} {\ sin (x)} $$$.
Область косеканса: $$$ x \ ne \ pi n, n \ in \ mathbb {Z} $$$, диапазон $$$ (- \ infty, -1] \ cup [1, \ infty ) $$$.
{-1} (x) $$$ или $$$ y = \ operatorname {asin} (x) $$$ или $$$ y = \ operatorname {arcsin} (x) $$$ — такая функция, что $ $$ \ sin (y) = x $$$.
Область обратного синуса: $$$ [- 1,1] $$$, диапазон: $$$ \ left [- \ frac {\ pi} {2}, \ frac {\ pi} {2} \ right] $$$.
Это странная функция.
Калькулятор найдет обратный косинус заданного значения в радианах и градусах.{-1} (x) $$$ или $$$ y = \ operatorname {acos} (x) $$$ или $$$ y = \ operatorname {arccos} (x) $$$ — такая функция, что $ $$ \ cos (y) = x $$$.
Область обратного косинуса — $$$ [- 1,1] $$$, диапазон — $$$ [0, \ pi] $$$.
Это четная функция.
Калькулятор найдет арктангенс заданного значения в радианах и градусах.{-1} (x) $$$ или $$$ y = \ operatorname {atan} (x) $$$ или $$$ y = \ operatorname {arctan} (x) $$$ — такая функция, что $ $$ \ tan (y) = x $$$.
Область обратной касательной — $$$ (- \ infty, \ infty) $$$, диапазон — $$$ \ left (- \ frac {\ pi} {2}, \ frac {\ pi} { 2} \ right) $$$.
Это странная функция.
Калькулятор найдет обратный котангенс заданного значения в радианах и градусах.{-1} (x) $$$ или $$$ y = \ operatorname {acot} (x) $$$ или $$$ y = \ operatorname {arccot} (x) $$$ — такая функция, что $ $$ \ cot (y) = x $$$.
Область обратного котангенса — $$$ (- \ infty, \ infty) $$$, диапазон — $$$ (0, \ pi) $$$.
Это странная функция.
Есть два общепринятых, но несовместимых определения обратного котангенса:
- $$$ \ operatorname {acot} (x) = \ frac {\ pi} {2} — \ operatorname {atan} (x) $$$
- $$$ \ operatorname {acot} (x) = \ operatorname {atan} \ left (\ frac {1} {x} \ right) $$$
Мы используем первое определение, чтобы сделать обратный котангенс непрерывным при $$$ x = 0 $$$.{-1} (x) $$$ или $$$ y = \ operatorname {asec} (x) $$$ или $$$ y = \ operatorname {arcsec} (x) $$$ — такая функция, что $ $$ \ sec (y) = x $$$.
Область обратного секанса — $$$ (- \ infty, -1] \ cup [1, \ infty) $$$, диапазон — $$$ \ left [0, \ frac {\ pi} {2 } \ right) \ cup \ left (\ frac {\ pi} {2}, \ pi \ right] $$$.
Эта функция не является ни четной, ни нечетной.
Калькулятор найдет обратный косеканс заданного значения в радианах и градусах.{-1} (x) $$$ или $$$ y = \ operatorname {acsc} (x) $$$ или $$$ y = \ operatorname {arccsc} (x) $$$ — такая функция, что $ $$ \ csc (y) = x $$$.
Область обратного косеканса — $$$ (- \ infty, -1] \ cup [1, \ infty) $$$, диапазон — $$$ \ left [- \ frac {\ pi} {2} , 0 \ right) \ cup \ left (0, \ frac {\ pi} {2} \ right] $$$.
Эта функция не является ни четной, ни нечетной. {- 1} (x) $$$ или $$$ y = \ operatorname {asech} (x) $$$ или $$$ y = \ operatorname {arcsech} (x) $$$ — это такая функция, что $$$ \ operatorname {sech} (y) = x $$$.2} +1} \ вправо) $$$.
Область обратного гиперболического косеканса: $$$ (- \ infty, 0) \ cup (0, \ infty) $$$, диапазон $$$ (- \ infty, 0) \ cup (0, \ infty) $$$.
Это странная функция.
Калькулятор найдет биномиальное разложение данного выражения с указанием шагов.
Калькулятор найдет логарифм (натуральный, десятичный и т. Д.).) заданного значения в заданную базу ($$$ e $$$, $$$ 10 $$$ и т. д.).
Область логарифма — $$$ (0, \ infty) $$$, диапазон — $$$ (- \ infty, \ infty) $$$.
Это ни четная, ни нечетная функция.
Если вы введете значение вне домена, результатом будет комплексное число.
Если вы введете отрицательное основание, результатом будет комплексное число.
Этот калькулятор решает линейные, квадратичные, полиномиальные, рациональные и абсолютные неравенства.Он также может обрабатывать сложные неравенства и системы неравенств.
Чтобы изобразить неравенства, используйте графический калькулятор.
Калькулятор найдет сумму, разницу, произведение и частное функций. При необходимости он также оценит результирующие функции в указанной точке.
Калькулятор найдет состав функций с указанием шагов.При необходимости он также оценит композицию в указанной точке.
Калькулятор найдет значение заданного выражения, подставляя при необходимости значения заданных переменных.
Калькулятор найдет $$$ x $$$ (точные и числовые, действительные и комплексные) в данном уравнении.
Калькулятор найдет нули (точные и числовые, действительные и комплексные) линейной, квадратичной, кубической, четвертой, полиномиальной, рациональной, иррациональной, экспоненциальной, логарифмической, тригонометрической, гиперболической и функции абсолютного значения на заданном интервале.
Этот калькулятор попытается решить систему из 2, 3, 4, 5 одновременных уравнений любого типа, включая полиномиальные, рациональные, иррациональные, экспоненциальные, логарифмические, тригонометрические, гиперболические, абсолютные и т. Д.Он может найти как реальные, так и сложные решения.
Этот калькулятор может решать тригонометрические уравнения, упрощать и оценивать выражения. Он может обрабатывать тригонометрические и обратные тригонометрические функции.
Калькулятор найдет полярную форму данного комплексного числа с указанными шагами.
Калькулятор упростит любое сложное выражение с указанием шагов. Он будет выполнять сложение, вычитание, умножение, деление, возведение в степень, а также найдет полярную форму, сопряжение, модуль и обратную форму комплексного числа.
Калькулятор найдет точки пересечения по оси x и y заданной функции, выражения или уравнения.
Калькулятор найдет корни $$$ n $$$ th данного комплексного числа, используя формулу де Муавра, с указанными шагами.
Калькулятор найдет корни кубического уравнения как в аналитической, так и в приближенной форме.
Калькулятор найдет корни уравнения четвертой степени как в аналитической, так и в приближенной формах.
Этот калькулятор рассчитает экспоненциальную функцию с заданными основанием и экспонентой.
Этот калькулятор решит систему линейных уравнений любого вида с указанными шагами, используя правило Крамера.
Этот калькулятор решает систему линейных уравнений любого типа с указанными шагами, используя метод исключения Гаусса-Жордана, метод обратной матрицы или правило Крамера.
Этот калькулятор определит конечное поведение данной полиномиальной функции с указанием шагов.
Калькулятор найдет степень, старший коэффициент и старший член заданной полиномиальной функции.
Калькулятор найдет факториал заданного числа (целое или нецелое, отрицательное или неотрицательное) с указанными шагами.
SAT Math Примеры вопросов | College Board
Указания и номера вопросов ниже отражают то, с чем студенты столкнутся в день экзамена.Некоторые математические разделы позволяют использовать калькулятор, а другие — нет, как указано в инструкциях.
Откройте Раздел 3 своего листа для ответов, чтобы ответить на вопросы этого раздела.
Для вопросов 1–15 решите каждую задачу, выберите лучший ответ из предложенных вариантов и закрасьте соответствующий кружок на листе для ответов. Для вопросов 16–20 решите проблему и введите свой ответ в сетку на листе для ответов. Пожалуйста, ознакомьтесь с инструкциями перед вопросом 16 о том, как ввести свои ответы в сетку.Вы можете использовать любое доступное место в вашем тестовом буклете для черновой работы.
- Использование калькулятора [разрешено] / [запрещено].
- Все используемые переменные и выражения представляют собой действительные числа, если не указано иное.
- Рисунки, представленные в этом испытании, нарисованы в масштабе, если не указано иное.
- Все фигуры лежат в плоскости, если не указано иное.
- Если не указано иное, область заданной функции f — это набор всех действительных чисел x , для которых является действительным числом.
Каталожный номер
Число градусов дуги в окружности 360.
Количество радианов дуги в окружности
Сумма углов треугольника в градусах равна 180.
Для вопросов, задаваемых студентами, студенты также будут видеть следующие направления:
Для вопросов 16–20 решите проблему и введите свой ответ в сетку, как описано ниже, на листе ответов.
- Хотя это и не обязательно, рекомендуется написать свой ответ в полях вверху столбцов, чтобы помочь вам правильно заполнить кружки. Вы получите кредит только в том случае, если кружки заполнены правильно.
- Отметьте не более одного кружка в любом столбце.
- Ни один вопрос не имеет отрицательного ответа.
- Для некоторых задач может быть несколько правильных ответов. В таких случаях сетка только один ответ.
- Смешанные числа, например, должны быть разделены на 3.5 или
(если ввести в сетку как, оно будет интерпретировано как не - Десятичные ответы: если вы получаете десятичный ответ с большим количеством цифр, чем может вместить сетка, он может быть либо округлен, либо усечен, но он должен заполнять всю сетку.
Если вы будете запрашивать (или были одобрены) для размещения формата, совместимого с вспомогательными технологиями (цифровое тестирование для использования с программой чтения с экрана или другой вспомогательной технологией) для SAT, вы можете также просмотреть примеры математических заданий в их полностью отформатированные версии, которые отсортированы как вопросы, допускающие использование калькулятора, и вопросы, не разрешающие использование калькулятора.
Пожалуйста, обратите внимание, что все условия тестирования, включая запросы на вспомогательные технологии и специальные форматы, должны быть одобрены Службой Совета колледжей для студентов с ограниченными возможностями до начала экзамена.
.


И.
М.
С.
6 образец рабочего листа
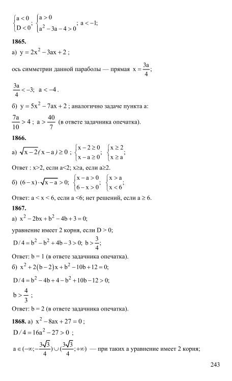
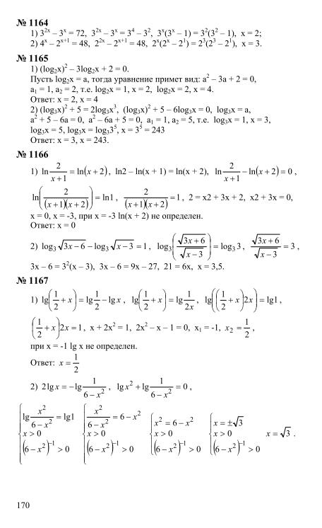
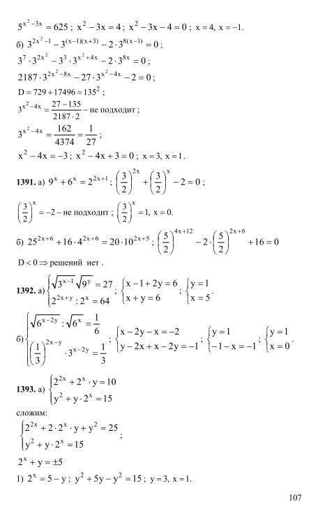
11 по математике