Математика 6 класс истер в категории «Товары для детей»
поиск в товарах / по продавцам
Учебная и справочная литература
Обучающая и развивающая детская литература
Книги, журналы, печатная продукция, общее
Литература по общественным и гуманитарным наукам
Книги для родителей
Детская художественная литература
Книги, общее
Наручные и карманные часы
Тиски
Плотномеры
Антикварные книги и журналы
Тетради и дневники
Закладки для книг, наклейки
Книги для изучения иностранных языков
Бизнес-книги
Бумажная масса
Товары, общее
Материалы для ремонта и восстановления шин
Держатели стаканов
Шовный материал
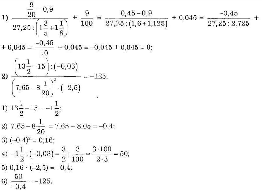
Підручник Математика 6 клас. Істер. Генеза.
Готово к отправке
400 грн
Купить
Підручник Математика 6 клас.
Істер.Генеза. 2014
Готово к отправке
550 грн
Купить
Математика 6 клас Істер . Вправи, самостійні роботи.
Готово к отправке
100 грн
Купить
Математика 6 клас Істер. Зошит для самостійних та тематичних контрольних робіт.
Готово к отправке
70 грн
Купить
Підручник Математика 6 клас.Істер.2014.М’яка обкладинка.Формат А5(15см*21см)
Готово к отправке
450 грн
Купить
Математика 6 клас. Підручник.Істер. Видавництво» Генеза.»
Готово к отправке
450 грн
Купить
Математика 6 клас .Істер . Вправи, самостійні Видавництво» Генеза»
Готово к отправке
90 грн
Купить
Математика 6 клас Істер. Зошит для самостійних та тематичних контрольних видавництво «Генеза»
Готово к отправке
70 грн
Купить
Математика. Підручник 6 клас. Істер О.С.
В наличии
350 грн
Купить
Книга Повні розвязки за підручником Математика. 6 клас (автор Істер О.
С.). Автор Юрий Федоренко (Укр.) 2014 г.
В наличии
58 грн
Купить
2
3
Вперед
Показано 1 — 29 товаров из 1000+
Смотрите также
Математика мерзляк
Книга нуш
Математика 5 класс Истер
Тетрадь для контроля знаний
Новая украинская школа
Издательство Учебники и пособия
Математика комплексный тренажер
Книга развивающие наклейки
Магазин інтернет
Книги для развития
Развитие ребенка книги для родителей
Подготовка ребенка к школе книги
Развитие способностей детей книги
Книга для девочки 9лет
Издательство навчальна книга богдан
Математика 6 класс истер со скидкой
Математика 6 класс истер оптом
Популярные категории
Товары для детей
Книги для детей
Обучающая и развивающая детская литература
Подарки, хобби, книги
Книги, журналы, печатная продукция
Учебная и справочная литература
Аксессуары и украшения
Аксессуары
Наручные и карманные часы
Инструмент
Ручной инструмент
Контрольно-измерительные приборы
Измерители физических параметров
Плотномеры
ГДЗ Математика 6 клас Істер 2014 відповіді та розв’язання
👇👇👇
ВПРАВИ № 1 – 138 РОЗДІЛ 1. ПОДІЛЬНІСТЬ НАТУРАЛЬНИХ ЧИСЕЛ
ВПРАВИ № 139-508 РОЗДІЛ 2. ЗВИЧАЙНІ ДРОБИ
ВПРАВИ № 509-842 РОЗДІЛ 3. ВІДНОШЕННЯ І ПРОПОРЦІЇ
ВПРАВИ № 845-1558 РОЗДІЛ 4. РАЦІОНАЛЬНІ ЧИСЛА І ДІЇ НАД НИМИ
ВПРАВИ № 1559-1588 Для тих, хто любить математику
ТЕМИ № 1 – 10 Завдання для перевірки знань
Готові домашні завдання з математики для 6 класу автор Істер
✅ Відповіді до підручника ГДЗ математика 6 клас Істер
✅ Автор: Істер О. С.
✅ Завдань 1588
✅ Видавництво: Генеза
✅ Рік 2014
✅ Мова: Українська
✅ Жанр: відповіді до шкільного підручника
Готові домашні завдання з математики для 6 класу Істер.
Переглядай відповіді ГДЗ математика 6 клас Істер
Готові домашні завдання (ГДЗ) з математики для 6 класу автор Істер. Відповіді на усі вправи, задачи чи номери. Розв’язання онлайн завжди у вашому смартфоні
гдз математика шостий клас Істер
Переглянути відповіді онлайн до підручника з математики для учнів 6 класу, автор Істер. Нова програма 2014
У 6 класі учень до підручника з математики Істер, зустрінеться з такими темами
:
- РОЗДІЛ 1. ПОДІЛЬНІСТЬ НАТУРАЛЬНИХ ЧИСЕЛ
- РОЗДІЛ 2. ЗВИЧАЙНІ ДРОБИ
- РОЗДІЛ 3. ВІДНОШЕННЯ І ПРОПОРЦІЇ
- РОЗДІЛ 4. РАЦІОНАЛЬНІ ЧИСЛА І ДІЇ НАД НИМИ
- Для тих, хто любить математику
- Завдання для перевірки знань
У посібнику наведено теоретичний матеріал і практичні розв’язкування вправ, які дитині легко розібрати самостійно. Відпадає необхідність оплачувати репетиторів або відвідувати додаткові заняття, адже у відповідях наведено матеріал, що повністю відповідає сучасній навчальній програмі.
У вас тільки відповіді для кожної вправи, задачі чи номеру?
Майже так, у нас відповіді до кожного номеру. В задачах котрих ти дізнаєшся відповіді на такі теми: координати на площині, негативні числа, дроби з різними знаменниками, подільники та кратні — все це звалюється на голову школяра, який тільки що перейшов шостий клас навчання. Не всі розуміють абстрактні математичні поняття, і деякі школярі зазнають певних труднощів при вирішенні домашніх вправ
.
Для тих хто любить математику у 6-му класі від Істера
Ні, це ми зараз не напишемо про фанатів з математики у 6-му класі, це просто розділ у підручнику.
Завдання для перевірки знань з математики на кожен номер
А цей розділ дозволить написати самостійну роботу з математики на відмінно. Ти зможеш не тільки перевірити свої знання, але й отримати високу оцінку під час самостійної роботи.
І пам’ятай, що справитися з математичними операціями допоможе збірник ГДЗ Математика шостий клас Істер, в якому наведені вірні відповіді і розписаний хід вирішення всіх завдань і рівнянь.
Часті питання про гдз 6 клас з математики Істер
💰 Чи складний предмет математика у 6-му класі?
Математика — предмет, який необхідно вивчати крок за кроком. Якщо учень пропустить бодай одне заняття, то виникає небезпека втратити важливий для розуміння матеріал, а значить — повністю запустити вивчення математики. Надолужити згаяне допоможе збірник з відповідями Математика 6 клас Істер
❤️ Чи присутні відповіді на завдання для перевірки знань?
🍀 А відповіді ще на які розділи для підручника з математики 6 клас Істер доступні?
РОЗДІЛ 1. ПОДІЛЬНІСТЬ НАТУРАЛЬНИХ ЧИСЕЛ, РОЗДІЛ 2. ЗВИЧАЙНІ ДРОБИ, РОЗДІЛ 3. ВІДНОШЕННЯ І ПРОПОРЦІЇ, РОЗДІЛ 4. РАЦІОНАЛЬНІ ЧИСЛА І ДІЇ НАД НИМИ, Для тих, хто любить математику.
Екстра ГДЗ — Про портал — Privacy Policy — copyright
Прием — Как | Le Rosey
МОЖНО ЛИ ПОДАТЬ ЗАЯВКУ НА ПОСТУПЛЕНИЕ В LE ROSEY НА ПОСЛЕДНИЕ ДВА ГОДА СРЕДНЕЙ СРЕДНЕЙ ШКОЛЫ (11 И 12 КЛАССЫ В США; 12 И 13 ГЛАВЫ ВЕЛИКОБРИТАНИИ) ДЛЯ ПОДГОТОВКИ К МЕЖДУНАРОДНОМУ БАКАЛАВРИЮ?
Да, но не рекомендуется.
Спрос на одно из немногих мест на нашем курсе IB очень высок, и каждый год мы отказываемся от отличных абитуриентов.
Но дело не только в борьбе за места. Мы также очень сомневаемся в том, стоит ли проводить в Le Rosey только два последних лихорадочных и сложных в учебе года. И мы не единственные, кто так думает: младшие братья и сестры тех, кто был принят в 1-й класс, всегда подают заявки на присоединение к нам раньше.
НА КАКУЮ ГОДНУЮ ГРУППУ ИЛИ УРОВЕНЬ ЛУЧШЕ ПОДАТЬ ЗАЯВКУ?
Зависит от профиля студента. Некоторые ученики готовы к школе-интернату в возрасте 8 лет; другие предпочитают подождать. Родители, со своей стороны, тоже должны быть готовы! Им придется предоставлять своим детям большую автономию и позволять им покидать дом на часть года, не пытаясь осуществлять над ними постоянный контроль.
Многие студенты прибывают в Le Rosey в возрасте от 12 до 14 лет и остаются с нами до выпуска. Некоторые начинают раньше, и младшая секция особенно хорошо подходит для детей в возрасте от 8 до 12 лет, обеспечивая очень благоприятную среду в школе в целом.
Стоит отметить, что конкуренция за места начиная с 3-го класса (9-й класс в США/10-й класс в Великобритании) становится все более острой.
КАК ДОЛГО МОЖНО ОСТАВАТЬСЯ В LE ROSEY – ДО ВЫПУСКА?
Подавляющее большинство Розенов заканчивают Роузи на «старшем» курсе, а затем уходят в университет, обычно потому, что они действительно не хотят уезжать! Тем не менее, есть некоторые студенты (обычно младшие), которые остаются всего на два или три года, прежде чем перейти, как правило, в не менее престижную школу в Великобритании или США. Студенты старше 15 лет крайне редко покидают Рози до окончания учебы.
ЕСТЬ ПРЕИМУЩЕСТВА ПОДАТЬ ЗАЯВКУ ЗА ГОД ИЛИ ДВА ДО ТОГО, КАК Я ЗАХОЧУ ПРИЕХАТЬ В LE ROSEY?
Учитывая, что молодежь постоянно развивается и меняется, мы не принимаем студентов раньше сентября на следующий учебный год. При этом, если мы получим неподтвержденную заявку за два года до даты поступления, мы можем предложить условное место, исходя из того, что заявитель поддерживает тот же уровень и удовлетворительные отчеты в своей текущей школе.
Некоторые студенты подают заявки очень рано, и мы, очевидно, храним записи и записи, и они могут быть полезны при принятии решений, когда заявка станет официальной.
В чем разница между непрерывным приемом и приемом по раундам?
В связи с конкурсом на места для учащихся старших классов (3, 2 и 1 классы — например, США 9 , 10 и 11 классы, 10, 11 и 12 классы Великобритании), где заявки поступают непрерывно, решения принимаются на двух сессиях, одна в начале декабря (для заявок, заполненных не позднее 15 ноября) и в середине февраля (для заявок, заполненных до 31 января). После второй сессии, хотя места в этих классах заполнены, те, кто подали заявку позже, все еще могут быть помещены в список ожидания. Решения (отказ или лист ожидания) будут приниматься на постоянной основе, обычно в течение двух недель после завершения досье.
Для детей младшего возраста заявки можно подавать в течение всего года (даже если настоятельно рекомендуется ранняя подача заявок – см.
ниже). Решения принимаются как можно скорее и обычно в течение двух недель после завершения досье.
КАКОЕ ЛУЧШЕЕ ВРЕМЯ ГОДА ПОДАТЬ ЗАЯВКУ?
После сентября, чем раньше, тем лучше. Каждый возрастной уровень и каждая национальность имеют свою квоту, и в течение года они достигают своих пределов, а это означает, что даже отличные кандидаты могут быть помещены только в список ожидания. Кроме того, прием в 3 класс (9-й -й класс, 10-й год), 2-й класс (10 -й -й класс, 11-й класс) и 1-й класс (11 -й -й класс, 12-й год) обычно решается на двух сессиях, одна осенью, а другая в зима (подробности выше).
СКОЛЬКО ВРЕМЕНИ ПРИНИМАЕТСЯ РЕШЕНИЕ?
Для учащихся 3, 2 и 1 классов (9 , 10 и 11 классы, 10, 11 и 12 классы) решения принимаются на внеочередных заседаниях в декабре или феврале (см. выше). После 31 января решение либо о листе ожидания, либо об отказе будет приниматься на постоянной основе (подробности выше).
Для младших абитуриентов: после того, как досье будет готово, вступительные экзамены исправлены (преподавателями Рози) и уплачен регистрационный сбор, наша приемная комиссия рассмотрит заявку. Ее подробно читают три человека, включая директора школы, и она обсуждается на нашем еженедельном приемном собрании комитетом, состоящим из генерального директора, директора и директора приемной комиссии. Время обработки от заполненной заявки до принятия решения обычно составляет две недели.
КАКИЕ РЕШЕНИЯ ВОЗМОЖНЫ И ЧТО ТАКОЕ СПИСОК ОЖИДАНИЯ?
Возможны четыре решения:
- Кандидату делается акцепт и предложение; в некоторых случаях это может быть связано с академическими результатами в течение года в текущей школе кандидата .
- Отказ, означающий, что кандидат не может приехать в Le Rosey в сентябре следующего года; однако заявление может быть перенесено на следующий учебный год
- Лист ожидания, означающий, что кандидаты обладают качествами, необходимыми для зачисления, но в настоящее время не осталось мест по техническим причинам (например, класс заполнен или достигнута национальная квота).

Если ситуация изменится (что-то, что не зависит от школы и, к сожалению, может произойти даже летом), родители информируются об этом и решают, соглашаться ли на это место. - В ряде случаев решение о зачислении может быть отложено из-за конкурса на заявленный класс. Обычно это для классов 1 и 2 или для определенных языковых квот; это означает, что комиссия рассматривает все такие досье вместе позднее. В таких случаях родителей информируют о том, когда можно ожидать решения и о дате рассмотрения досье.
КОНЕЧНО, В LE ROSEY ВСЕГДА НАХОДИТСЯ МЕСТО ДЛЯ ЕЩЕ ОДНОГО, ТАК ЧТО СЕМЬЯ СО «СВЯЗЯМИ» ИЛИ ГОТОВАЯ СДЕЛАТЬ ЩЕДРОЕ ПОЖЕРТВОВАНИЕ ВСЕГДА ПОЛУЧИТ МЕСТО?
Такого никогда не бывает. Качество заявки и степень, в которой, по нашему мнению, кандидат будет процветать в Le Rosey, является основой каждого решения. Более того, семейные ценности и уважение к справедливости и прозрачности должны соответствовать нашим собственным. В Le Rosey есть ограниченное количество коек, и даже самый блестящий и высококвалифицированный студент с «лучшими» связями может быть не принят, если нет места.
Le Rosey никогда не принимает пожертвований. В то время как большинство школ в англоязычном мире зависят от щедрости своих родителей и выпускников, в Le Rosey нет «фонда пожертвований»: плата за обучение является единственным источником финансирования работы и развития школы, что позволяет нам оставаться полностью независимыми.
НАСКОЛЬКО ВАЖНЫ НАЦИОНАЛЬНЫЕ КВОТЫ?
Очень. Le Rosey — это исключительно разнообразное сообщество, и мы очень строго относимся к общему количеству национальностей или языковых групп на всех уровнях.
ВАЖНЫ ЛИ СПОРТ И ИСКУССТВО?
Выявление и развитие талантов учащихся — одна из отличительных черт Le Rosey. Талант в спорте или искусстве или участие в школьной жизни является важным компонентом заявления, даже если академический уровень, языковые знания и пригодность для жизни в школе-интернате являются ключевыми факторами в нашем решении. Мы настоятельно рекомендуем заявителям указывать соответствующие данные и дипломы (например, оценки ABRSM или информацию об участии в спортивных мероприятиях).
ЧТО ТАКОЕ ШКОЛЬНЫЙ КАЛЕНДАРЬ?
Осенний семестр в Ролле длится с начала сентября до середины декабря с неделей путешествий или отпусков в октябре. Он заканчивается Fête de Noël , на который приглашаются родители.
Зимний семестр проходит в Гштааде с начала января до середины марта, а лыжные гонки Рози и университетские встречи проходят в середине февраля.
Весенний семестр возвращается в Ролл с начала апреля до конца июня, кульминацией которого является празднование конца учебного года и выпуск старшеклассников.
МОЖНО ЛИ НАЧАТЬ В СЕРЕДИНЕ ГОДА?
Редко, но место может открыться в течение года после досрочного отъезда. Обычно это начало второго или третьего срока (начало января и апреля).
ВАЖНО ПОСЕТИТЬ LE ROSEY ВО ВРЕМЯ ПРИЕМА?
Да! Подавляющее большинство абитуриентов проводят день в кампусе. Это не только позволяет нам правильно проводить собеседования с абитуриентами и их семьями, но также дает студентам возможность провести время с Roséens и решить, подходит ли им эта школа.
Ведь это важное решение для всех нас.
LE ROSEY – ХОРОШИЙ ВЫБОР ДЛЯ ВСЕХ СТУДЕНТОВ?
Le Rosey представляет собой особенно активное и сплоченное международное сообщество, поэтому он лучше всего подходит для детей, активных и любознательных, которые хотят разделить свою жизнь с другими людьми из разных культур. Они будут хорошо реагировать на академические требования и будут стремиться играть активную роль в обществе, начиная со своей школы. Розеаны должны обладать реальным желанием совершенствовать и развивать свои таланты, и они будут готовы взять на себя нагрузку и жертвы, которые могут потребоваться.
Стоит отметить, что худшая причина для желания приехать в Le Rosey – это похвастаться богатством и престижем родителей.
И, конечно, может случиться так, что ребенок готов стать Розен но родители колеблются. Это должно быть семейным решением.
Это вещи, которые наша опытная приемная комиссия всегда принимает во внимание, и по этой причине крайне необычно, чтобы учащийся был недоволен в Рози в течение какого-либо периода времени или бросил школу в течение года
КАК РАБОТАЕТ ЛИ СВЯЗЬ С МЕЖДУНАРОДНОЙ ШКОЛОЙ LE RÉGENT?
Сестринская школа Le Rosey в Кран-Монтане быстро растет, но ее языковые и национальные квоты находятся под меньшим давлением, чем у Le Rosey: отличные кандидаты, включенные в список ожидания, отсроченные или даже отклоненные в Le Rosey, могут продлить свое заявление в Le Régent, где они могут быть предложено место.
Если есть место, это происходит автоматически для тех, кто находится в списке ожидания Le Rosey (WL) — с тем преимуществом, что даже если они решат зарегистрироваться в Le Régent, кандидаты могут остаться в WL Rosey и даже вернуться в Le Rosey, если освободится место. до конца сентября. Все это происходит без дополнительных затрат или заполнения формы. Хотя академические, спортивные, социальные связи и связи выпускников с Le Rosey развиваются быстро, Le Régent обладает собственным сильным и самобытным характером, и даже если некоторые студенты, поступившие туда, могут надеяться на перевод в Le Rosey, почти все привязываются к Le Rosey. эта яркая и перспективная школа.
Business Double Major Готовность к следующему большому вызову в жизни
Когда Хирра Хан переехала в Гридли из Пакистана в 2012 году, она оказалась в окружении неизвестного: в новой школе в чужой стране, училась говорить по-английски с нуля и только 12-летний для Майлза, который носил хиджаб.
Она помнит, как сидела в шестом классе на уроке английского языка и пыталась понять, что происходит вокруг нее.
Твердый взгляд Хан на ее ситуацию повлиял на ее академическую карьеру.
Сегодня она учится в старших классах и готовится к получению диплома с одной степенью в области делового администрирования с возможностью выбора в области финансов и другой в области бизнес-информационных систем с возможностью в области информационных систем управления.
К 2019 году она поступила в Chico State с намерением специализироваться в области биохимии и продолжить карьеру в области медицины. В течение первого семестра она поняла, что это не правильный путь для нее. Работа казалась разочаровывающей и не позволяла ее сильным сторонам играть центральную роль. «Я очень старался, но не смог вникнуть. Я так рада, что пошла на этот урок химии в первом семестре и поняла, насколько он мне не нравится».
Во время «Летнего моста», переходной программы, в ходе которой первокурсники EOP до начала семестра приезжают в кампус для встречи с наставниками, посещения семинаров и знакомства со студенческой жизнью, Хан познакомилась со своим будущим консультантом Дженнифер Дагган, помощником декана колледжа.
«С момента встречи с Хиррой она проявила яростную решимость добиться успеха в учебе», — сказал Дагган. «Я был впечатлен ее сосредоточенностью и дисциплиной в поддержании высокого среднего балла по сложной специальности STEM. Было приятно наблюдать, как она преуспела и достигла своей цели — получить диплом с этой впечатляющей двойной специальностью».
Это смещение внимания Хан к бизнесу позволило ей получить доступ к новым механизмам внутри себя и найти область обучения, которая увлекает ее и сулит перспективы в рабочем мире.
«Меня действительно устраивает сочетание ИСУ с финансами, — сказал Хан. «Мне нравятся цифры, аналитика и финансовая сторона моей степени, а затем MIS привносит технологический аспект, который я нахожу очень интересным».
Помимо того, что она умело решает аналитические задачи, она зарекомендовала себя как эффективный коммуникатор и менеджер проектов в классе и за его пределами.
На самом деле именно занятия по бизнес-коммуникациям на втором курсе, которые включали написание сопроводительных писем и резюме, побудили Хан взять на себя инициативу и подать заявку на работу в EOP. Так началась еще одна важная глава в ее истории, когда она могла отдать долг организации, которая помогла ей добиться успеха в штате Чико. Первый руководитель Хана, Ся «Билли» Ло, оказал на нее положительное влияние и наставник, который поддерживал ее в этой новой роли, в которой она росла от силы к силе.
«Она ведет себя очень уверенно — у нее сильный характер, но она очень тихая и всегда слушает», — сказала Тереза Эрнандес, координатор программы EOP для первокурсников и нынешний руководитель Хана в прошлом году. «Это очень интригующая вещь в ней. Ее можно рассматривать как человека, который висит на заднем плане занятой комнаты, но тогда она может мгновенно привлечь внимание этой комнаты и привлечь внимание всех к ней.
В этом она настоящий лидер. Я знаю, что она будет очень влиятельным человеком в каждой своей роли».
Как человек, получивший пользу от EOP в качестве студентки первого курса, Хан считает свою работу по программе важным способом отблагодарить студентов, которых она сейчас консультирует. «Я думаю, что EOP создает в штате Чико ощущение дома, — сказал Хан. «Большинство студентов имеют схожий опыт — они студенты первого поколения, часто приезжающие издалека, — и мы можем использовать этот опыт. Мы здесь, чтобы выслушать их, понять, что им нужно, и предложить поддержку, будь то направление или просто выслушивание».
По словам Эрнандеса, влияние Хана на студентов ощутимо. «У Хирры очень успокаивающее присутствие — она может успокоить студентов, которые могут чувствовать раздражение, расстроенность или беспокойство», — сказал Эрнандес. «То, как она дает им советы и мотивирует их, чтобы они уходили отсюда с чувством вдохновения продолжать идти и продолжать попытки, является одним из самых важных вещей».
В дополнение к работе Хан с EOP, она также является волонтером AmeriCorps, оказывая помощь взрослым учащимся в открытом качестве, начиная от помощи с английским как материалом курса второго языка и заканчивая обучением репетиторов.
Помимо извлеченных ею уроков, постоянной опорой и источником вдохновения в жизни Хана являются ее семья и круг общения. Ее сестра Амна (бизнес-информационные системы, 21 год) и лучшая подруга Вероника Эредиа, также старшеклассница и специалист по кадрам, подбадривали и поддерживали ее в самые трудные моменты. «Переезд сюда был тяжелым, но у меня была сильная поддержка семьи, которая помогла мне пройти через это», — сказал Хан. «Моя мама, особенно. Я всегда восхищался ею — у нее есть эта эмоциональная, внутренняя сила и самоконтроль, которые вдохновляют».
После выпуска Хан с нетерпением ждет возможности испытать себя на работе, используя свои таланты в роли, которая сочетает в себе сильные стороны и навыки, которые она развила в штате Чико.


